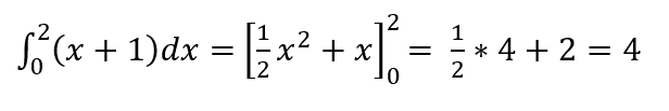
Lösung zu 1.3


Es muss das Integral ausgerechnet werden.



zurück