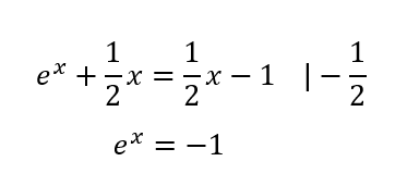
Lösung zu 2.1

Beide Funktionen müssen gleichgesetzt werden. f(x)=g(x)

Es
kann kein natürlicher Logarithmus gezogen werden, da es eine negative
Zahl ist und so die Lösung nicht mehr in den Bereich der reellen Zahlen
fällt. Es ist kein gemeinsamer Schnittpunkt vorhanden.
zurück