Lösung zu 2.2





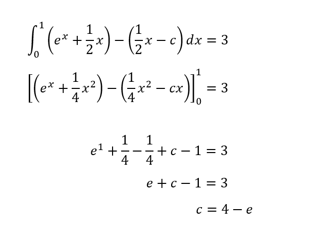
Ich nutze ein Integral und ziehe die Differenz, da die Fläche mit 3 gegeben ist. Dabei rechnet man die obere minus die untere Funktion also f(x)-g(x). Die Grenzen sollen von x=0 bis x=1 gehen.




zurück